油的压缩性

油的压缩性

一、定义

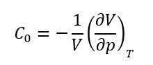
油的压缩性反映了油在压力变化下的体积变化能力,是油藏流体弹性的重要指标。其数学定义为:

其中:

c_o:油的压缩系数(通常单位是psi-1

V:油的体积

p:压力

T:温度

油的压缩性由PVT实验室测量。它通常用于钻井液性能建模和油藏模拟。负号表示压力增加时体积减小。

二、影响因素

1. 原油组分

轻质油(低黏度、低沸点烃类多):分子间距大,压缩性更大。

重质油(胶质、沥青质多):分子结构致密,压缩性更小。

2. 溶解气含量

溶解气越多,原油体积膨胀、可压缩空间越大,压缩系数显著升高。

脱气后原油变致密,压缩性明显降低。

3. 压力水平

压力低于饱和压力:气体易析出/溶解,体积变化剧烈,压缩性大。

压力高于饱和压力:无游离气,液体压缩性小,压缩性低且接近常数。

4. 温度

温度升高,原油热膨胀、分子动能增大,压缩性略有上升。

温度降低,原油黏度增大、结构更紧密,压缩性下降。

5. 含水率与杂质

含水升高:水的压缩性远小于油,整体压缩系数降低。

含固体颗粒(砂、蜡):会进一步降低压缩性。

三、物理意义

1.弹性储能能力:

油在压力增加时储存能量,压力降低时释放能量,驱动油流向井筒。

2.压力传导能力:

压缩性影响油藏中压力波传播速度,进而影响试井解释。

3.相态稳定性:

在泡点压力附近,压缩性突变可指示相态变化。

四、应用场景

1. 油藏工程

弹性驱动能量计算与采收率预测

油藏物质平衡方程计算

原始地质储量、可采储量与剩余油测算

2. 试井与动态分析

压力恢复/压降试井解释

确定地层系数、渗透率、边界距离

油井流入动态IPR曲线建模

3. 数值模拟

油藏模拟器核心PVT输入参数

多相渗流、压力场与饱和度场模拟

开发方案优化与指标预测

4. 生产与集输

井筒多相流计算

地面分离、计量与管输设计

高压输送系统体积与压力匹配